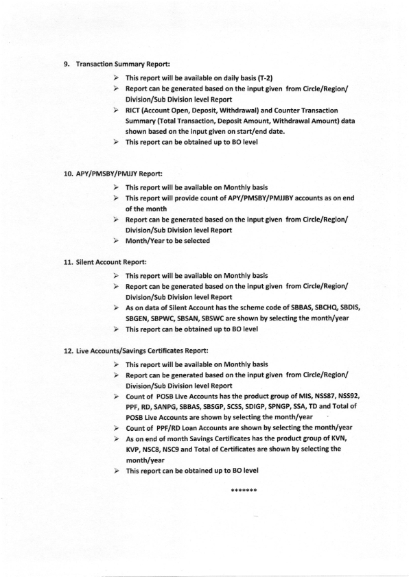
Availability of various CBS Reports on MIS Portal

Availability of various CBS Reports on MIS Portal - Administrative offices / Accounts wings  need not call for field units for these  report...
Availability of various CBS Reports on MIS Portal - Administrative offices / Accounts wings  need not call for field units for these  reports 








COMMENTS

BLOGGER
Name

Achievements,5,Allowances,87,Amendments,3,Android Apk,3,Announcements,38,anomalies,3,Articles,30,ATM,1,Audio / Video,3,Awards,7,Awareness,3,Banking,44,Books,3,Branch Post Office,2,BSNL,35,Business,15,Cadre Restructuring,10,CAT,4,CBS,2,CBS-CTS,1,CCA,5,CCA MCQ,1,CCS Rules,12,CEA,8,CGHS,56,Clarifications,27,COD,1,Competitive Exams,15,Computer Guidelines,119,Corona / Covid-19,32,Court News,35,Customer Care,247,Defence,1,Deputation,2,Differently Abled,7,DOP News,167,DOP Orders,99,DOPT Orders,331,Drivers,5,Dte Orders,58,e-Services,29,Education,117,Elections,3,Employees News,868,Employment News,85,Entertainments,60,Events,48,Exam / Result,112,Exam / Syllabus,58,Exam News,17,Facts,3,FAQ,78,Finacle,14,Finmin Orders,8,For System Administrators,128,Forms,15,FR Quiz,5,Frauds,1,Gazette,2,GDS,43,GenEng,1,General Informations,167,General Knowledge,344,GFR,3,GK,7,GO,1,GOVT Orders,50,GPF,1,Greetings,17,Guidelines,19,Hardwares,9,HBA,9,Health Tips,38,Holiday Home,18,Holidays List,6,Honorarium / Incentives,10,Important Letters,3,Important Persons,2,Income Tax,56,Instructions,3,Interest Rate,14,Internet Tips,94,IPO,191,Judgement,19,KV Schools,13,Labour News,2,Latest Software Updates,76,LAW,15,Leave Rules,44,Letter to Dte,1,Lokpal and Lokayuktas,1,LTC,41,MA Rules,5,MACP,26,Mails,24,MCQ,1,MHA Orders,2,Miscellaneous,4,MMS,18,Mobile Tips,33,National Pension System (NPS),51,NEFT / RTGS,2,Network Trouble shooting,11,News,179,Notifications,13,OBC related,1,Operating Procedures,15,Pay & Allowances,2,Pay Commission,45,Pay Commission - 7th,34,Pay Fixation,7,Pension,144,Pensioners News,11,Persmin,35,Philately,27,PLI,1,PLI and RPLI,32,POGuide I,5,PointOfSale,4,POSB,57,POSB Clarifications,13,Postal Accounts & Finance,1,Postal Accouunts / PAO,1,Postal Exams,4,Postal Informations,150,Postal Manuals,3,Postal Savings Schemes,61,PostalHistory,2,Printer Trouble shooting,11,Printing Tips,15,Project Arrow,6,Promotions,10,Questions / Answers,51,Quiz,34,Railway,110,Rajya Sabha Q&A,1,Random,6,Recovery Tips,12,Recruitment Rules,6,Registry Tips,26,Registry Tools,11,Reimbursement,7,Reservation,2,Results,1,RICT,2,RMS,15,Rotational Transfer,2,RTI,18,Rulings,63,SanchayPost,111,SAP,1,Savings Scheme,18,SB Orders,310,SBCO,29,SBOrder2017,1,SBOrder2018,1,SBOrder2020,1,SBOrder2021,6,SBOrder2022,2,Security Guidelines,23,Security Tips,46,Seniority List,1,Software Tips,11,Softwares,24,Speed Post,1,Sports,5,SQL,49,Staffs and Welfare,200,State News,19,Stories,5,Students,4,Study Materials,186,Sukanya Samriddhi Account,7,Tax,5,Technology,29,Technology News,23,TET / TRB / TNPSC,14,Tips and Tricks,111,TN - தமிழ்நாடு,33,Tools,30,Training,32,Transfer / Postings,38,Trouble shooting,25,UnCategorized,4,Union News,90,Update,93,Useful Softwares,125,Utilities,64,Virus Solutions,23,Websites,53,Welfare,1,windows 7,12,Windows Server,10,Windows Tips,152,Windows Vista,5,
ltr
item
Postal RADAR: Availability of various CBS Reports on MIS Portal
Availability of various CBS Reports on MIS Portal
https://blogger.googleusercontent.com/img/b/R29vZ2xl/AVvXsEgembFHOzkLW__ASrigGTqYiq6_G6XshxzSBA-yDhDmIRu5IFlch3d-fR25-P3W7u9EXXA7yaBvbnlkfrGTbJTLKF9SPgW2MA9vfwaB5-FY099XCxExV5F5Az4b0DavCCGsnU9TyBOjMhb-8y_srhBmfGlwwK7kB_CVwT-k97l9nGirtY0mIHBJLv5E/w633-h895/Letter%20to%20Circles%20on%20MIS%20reports16062022_001.jpg
https://blogger.googleusercontent.com/img/b/R29vZ2xl/AVvXsEgembFHOzkLW__ASrigGTqYiq6_G6XshxzSBA-yDhDmIRu5IFlch3d-fR25-P3W7u9EXXA7yaBvbnlkfrGTbJTLKF9SPgW2MA9vfwaB5-FY099XCxExV5F5Az4b0DavCCGsnU9TyBOjMhb-8y_srhBmfGlwwK7kB_CVwT-k97l9nGirtY0mIHBJLv5E/s72-w633-c-h895/Letter%20to%20Circles%20on%20MIS%20reports16062022_001.jpg
Postal RADAR
https://www.postalradar.com/2022/07/availability-of-various-cbs-reports-on.html
https://www.postalradar.com/
https://www.postalradar.com/
https://www.postalradar.com/2022/07/availability-of-various-cbs-reports-on.html
true
5719657340864375059
UTF-8
Loaded All Posts Not found any posts VIEW ALL Readmore Reply Cancel reply Delete By Home PAGES POSTS View All RECOMMENDED FOR YOU LABEL ARCHIVE SEARCH ALL POSTS Not found any post match with your request Back Home Sunday Monday Tuesday Wednesday Thursday Friday Saturday Sun Mon Tue Wed Thu Fri Sat January February March April May June July August September October November December Jan Feb Mar Apr May Jun Jul Aug Sep Oct Nov Dec just now 1 minute ago $$1$$ minutes ago 1 hour ago $$1$$ hours ago Yesterday $$1$$ days ago $$1$$ weeks ago more than 5 weeks ago Followers Follow THIS PREMIUM CONTENT IS LOCKED STEP 1: Share to a social network STEP 2: Click the link on your social network Copy All Code Select All Code All codes were copied to your clipboard Can not copy the codes / texts, please press [CTRL]+[C] (or CMD+C with Mac) to copy Table of Content