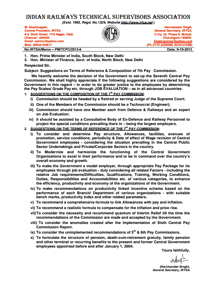
The Indian Railway Technical Supervisors Association have submitted a memorandum to the Prime Minister suggesting the Composition & Term...
Quick Links
Select Month
/gi-clock-o/ WEEK TRENDING$type=list
-
Important and Unique MCQ on CCS (CCA) Rules 1965 These MCQs are frequenty asked in various central goverment departmental examination c...
-
Step 1. Prepare Excel sheet of the students Step 2. Select that Excel Sheet using this tool. Step 3. Modify the data entered in the to...
-
Honorarium to Inquiry Officers / Presenting Officers in the departmental inquiries conducted by the Ministries / Departments: Information ...
Latest on Postal RADAR$type=blogging$m=0$cate=0$sn=0$rm=0$c=4$va=0
- Achievements
- Allowances
- Amendments
- Android Apk
- Announcements
- anomalies
- Articles
- ATM
- Audio / Video
- Awards
- Awareness
- Banking
- Books
- Branch Post Office
- BSNL
- Business
- Cadre Restructuring
- CAT
- CBS
- CBS-CTS
- CCA
- CCA MCQ
- CCS Rules
- CEA
- CGHS
- Clarifications
- COD
- Competitive Exams
- Computer Guidelines
- Corona / Covid-19
- Court News
- Customer Care
- Defence
- Deputation
- Differently Abled
- DOP News
- DOP Orders
- DOPT Orders
- Drivers
- Dte Orders
- e-Services
- Education
- Elections
- Employees News
- Employment News
- Entertainments
- Events
- Exam / Result
- Exam / Syllabus
- Exam News
- Facts
- FAQ
- Finacle
- Finmin Orders
- For System Administrators
- Forms
- FR Quiz
- Frauds
- Gazette
- GDS
- GenEng
- General Informations
- General Knowledge
- GFR
- GK
- GO
- GOVT Orders
- GPF
- Greetings
- Guidelines
- Hardwares
- HBA
- Health Tips
- Holiday Home
- Holidays List
- Honorarium / Incentives
- Important Letters
- Important Persons
- Income Tax
- Instructions
- Interest Rate
- Internet Tips
- IPO
- Judgement
- KV Schools
- Labour News
- Latest Software Updates
- LAW
- Leave Rules
- Letter to Dte
- Lokpal and Lokayuktas
- LTC
- MA Rules
- MACP
- Mails
- MCQ
- MHA Orders
- Miscellaneous
- MMS
- Mobile Tips
- National Pension System (NPS)
- NEFT / RTGS
- Network Trouble shooting
- News
- Notifications
- OBC related
- Operating Procedures
- Pay & Allowances
- Pay Commission
- Pay Commission - 7th
- Pay Fixation
- Pension
- Pensioners News
- Persmin
- Philately
- PLI
- PLI and RPLI
- POGuide I
- PointOfSale
- POSB
- POSB Clarifications
- Postal Accounts & Finance
- Postal Accouunts / PAO
- Postal Exams
- Postal Informations
- Postal Manuals
- Postal Savings Schemes
- PostalHistory
- Printer Trouble shooting
- Printing Tips
- Project Arrow
- Promotions
- Questions / Answers
- Quiz
- Railway
- Rajya Sabha Q&A
- Random
- Recovery Tips
- Recruitment Rules
- Registry Tips
- Registry Tools
- Reimbursement
- Reservation
- Results
- RICT
- RMS
- Rotational Transfer
- RTI
- Rulings
- SanchayPost
- SAP
- Savings Scheme
- SB Orders
- SBCO
- SBOrder2017
- SBOrder2018
- SBOrder2020
- SBOrder2021
- SBOrder2022
- Security Guidelines
- Security Tips
- Seniority List
- Software Tips
- Softwares
- Speed Post
- Sports
- SQL
- Staffs and Welfare
- State News
- Stories
- Students
- Study Materials
- Sukanya Samriddhi Account
- Tax
- Technology
- Technology News
- TET / TRB / TNPSC
- Tips and Tricks
- TN - தமிழ்நாடு
- Tools
- Training
- Transfer / Postings
- Trouble shooting
- UnCategorized
- Union News
- Update
- Useful Softwares
- Utilities
- Virus Solutions
- Websites
- Welfare
- windows 7
- Windows Server
- Windows Tips
- Windows Vista
RECENT$type=list-tab$date=0$au=0$c=5
- Achievements
- Allowances
- Amendments
- Android Apk
- Announcements
- anomalies
- Articles
- ATM
- Audio / Video
- Awards
- Awareness
- Banking
- Books
- Branch Post Office
- BSNL
- Business
- Cadre Restructuring
- CAT
- CBS
- CBS-CTS
- CCA
- CCA MCQ
- CCS Rules
- CEA
- CGHS
- Clarifications
- COD
- Competitive Exams
- Computer Guidelines
- Corona / Covid-19
- Court News
- Customer Care
- Defence
- Deputation
- Differently Abled
- DOP News
- DOP Orders
- DOPT Orders
- Drivers
- Dte Orders
- e-Services
- Education
- Elections
- Employees News
- Employment News
- Entertainments
- Events
- Exam / Result
- Exam / Syllabus
- Exam News
- Facts
- FAQ
- Finacle
- Finmin Orders
- For System Administrators
- Forms
- FR Quiz
- Frauds
- Gazette
- GDS
- GenEng
- General Informations
- General Knowledge
- GFR
- GK
- GO
- GOVT Orders
- GPF
- Greetings
- Guidelines
- Hardwares
- HBA
- Health Tips
- Holiday Home
- Holidays List
- Honorarium / Incentives
- Important Letters
- Important Persons
- Income Tax
- Instructions
- Interest Rate
- Internet Tips
- IPO
- Judgement
- KV Schools
- Labour News
- Latest Software Updates
- LAW
- Leave Rules
- Letter to Dte
- Lokpal and Lokayuktas
- LTC
- MA Rules
- MACP
- Mails
- MCQ
- MHA Orders
- Miscellaneous
- MMS
- Mobile Tips
- National Pension System (NPS)
- NEFT / RTGS
- Network Trouble shooting
- News
- Notifications
- OBC related
- Operating Procedures
- Pay & Allowances
- Pay Commission
- Pay Commission - 7th
- Pay Fixation
- Pension
- Pensioners News
- Persmin
- Philately
- PLI
- PLI and RPLI
- POGuide I
- PointOfSale
- POSB
- POSB Clarifications
- Postal Accounts & Finance
- Postal Accouunts / PAO
- Postal Exams
- Postal Informations
- Postal Manuals
- Postal Savings Schemes
- PostalHistory
- Printer Trouble shooting
- Printing Tips
- Project Arrow
- Promotions
- Questions / Answers
- Quiz
- Railway
- Rajya Sabha Q&A
- Random
- Recovery Tips
- Recruitment Rules
- Registry Tips
- Registry Tools
- Reimbursement
- Reservation
- Results
- RICT
- RMS
- Rotational Transfer
- RTI
- Rulings
- SanchayPost
- SAP
- Savings Scheme
- SB Orders
- SBCO
- SBOrder2017
- SBOrder2018
- SBOrder2020
- SBOrder2021
- SBOrder2022
- Security Guidelines
- Security Tips
- Seniority List
- Software Tips
- Softwares
- Speed Post
- Sports
- SQL
- Staffs and Welfare
- State News
- Stories
- Students
- Study Materials
- Sukanya Samriddhi Account
- Tax
- Technology
- Technology News
- TET / TRB / TNPSC
- Tips and Tricks
- TN - தமிழ்நாடு
- Tools
- Training
- Transfer / Postings
- Trouble shooting
- UnCategorized
- Union News
- Update
- Useful Softwares
- Utilities
- Virus Solutions
- Websites
- Welfare
- windows 7
- Windows Server
- Windows Tips
- Windows Vista
REPLIES$type=list-tab$com=0$c=4$src=recent-comments
- Achievements
- Allowances
- Amendments
- Android Apk
- Announcements
- anomalies
- Articles
- ATM
- Audio / Video
- Awards
- Awareness
- Banking
- Books
- Branch Post Office
- BSNL
- Business
- Cadre Restructuring
- CAT
- CBS
- CBS-CTS
- CCA
- CCA MCQ
- CCS Rules
- CEA
- CGHS
- Clarifications
- COD
- Competitive Exams
- Computer Guidelines
- Corona / Covid-19
- Court News
- Customer Care
- Defence
- Deputation
- Differently Abled
- DOP News
- DOP Orders
- DOPT Orders
- Drivers
- Dte Orders
- e-Services
- Education
- Elections
- Employees News
- Employment News
- Entertainments
- Events
- Exam / Result
- Exam / Syllabus
- Exam News
- Facts
- FAQ
- Finacle
- Finmin Orders
- For System Administrators
- Forms
- FR Quiz
- Frauds
- Gazette
- GDS
- GenEng
- General Informations
- General Knowledge
- GFR
- GK
- GO
- GOVT Orders
- GPF
- Greetings
- Guidelines
- Hardwares
- HBA
- Health Tips
- Holiday Home
- Holidays List
- Honorarium / Incentives
- Important Letters
- Important Persons
- Income Tax
- Instructions
- Interest Rate
- Internet Tips
- IPO
- Judgement
- KV Schools
- Labour News
- Latest Software Updates
- LAW
- Leave Rules
- Letter to Dte
- Lokpal and Lokayuktas
- LTC
- MA Rules
- MACP
- Mails
- MCQ
- MHA Orders
- Miscellaneous
- MMS
- Mobile Tips
- National Pension System (NPS)
- NEFT / RTGS
- Network Trouble shooting
- News
- Notifications
- OBC related
- Operating Procedures
- Pay & Allowances
- Pay Commission
- Pay Commission - 7th
- Pay Fixation
- Pension
- Pensioners News
- Persmin
- Philately
- PLI
- PLI and RPLI
- POGuide I
- PointOfSale
- POSB
- POSB Clarifications
- Postal Accounts & Finance
- Postal Accouunts / PAO
- Postal Exams
- Postal Informations
- Postal Manuals
- Postal Savings Schemes
- PostalHistory
- Printer Trouble shooting
- Printing Tips
- Project Arrow
- Promotions
- Questions / Answers
- Quiz
- Railway
- Rajya Sabha Q&A
- Random
- Recovery Tips
- Recruitment Rules
- Registry Tips
- Registry Tools
- Reimbursement
- Reservation
- Results
- RICT
- RMS
- Rotational Transfer
- RTI
- Rulings
- SanchayPost
- SAP
- Savings Scheme
- SB Orders
- SBCO
- SBOrder2017
- SBOrder2018
- SBOrder2020
- SBOrder2021
- SBOrder2022
- Security Guidelines
- Security Tips
- Seniority List
- Software Tips
- Softwares
- Speed Post
- Sports
- SQL
- Staffs and Welfare
- State News
- Stories
- Students
- Study Materials
- Sukanya Samriddhi Account
- Tax
- Technology
- Technology News
- TET / TRB / TNPSC
- Tips and Tricks
- TN - தமிழ்நாடு
- Tools
- Training
- Transfer / Postings
- Trouble shooting
- UnCategorized
- Union News
- Update
- Useful Softwares
- Utilities
- Virus Solutions
- Websites
- Welfare
- windows 7
- Windows Server
- Windows Tips
- Windows Vista
RANDOM$type=list-tab$date=0$au=0$c=5$src=random-posts
- Achievements
- Allowances
- Amendments
- Android Apk
- Announcements
- anomalies
- Articles
- ATM
- Audio / Video
- Awards
- Awareness
- Banking
- Books
- Branch Post Office
- BSNL
- Business
- Cadre Restructuring
- CAT
- CBS
- CBS-CTS
- CCA
- CCA MCQ
- CCS Rules
- CEA
- CGHS
- Clarifications
- COD
- Competitive Exams
- Computer Guidelines
- Corona / Covid-19
- Court News
- Customer Care
- Defence
- Deputation
- Differently Abled
- DOP News
- DOP Orders
- DOPT Orders
- Drivers
- Dte Orders
- e-Services
- Education
- Elections
- Employees News
- Employment News
- Entertainments
- Events
- Exam / Result
- Exam / Syllabus
- Exam News
- Facts
- FAQ
- Finacle
- Finmin Orders
- For System Administrators
- Forms
- FR Quiz
- Frauds
- Gazette
- GDS
- GenEng
- General Informations
- General Knowledge
- GFR
- GK
- GO
- GOVT Orders
- GPF
- Greetings
- Guidelines
- Hardwares
- HBA
- Health Tips
- Holiday Home
- Holidays List
- Honorarium / Incentives
- Important Letters
- Important Persons
- Income Tax
- Instructions
- Interest Rate
- Internet Tips
- IPO
- Judgement
- KV Schools
- Labour News
- Latest Software Updates
- LAW
- Leave Rules
- Letter to Dte
- Lokpal and Lokayuktas
- LTC
- MA Rules
- MACP
- Mails
- MCQ
- MHA Orders
- Miscellaneous
- MMS
- Mobile Tips
- National Pension System (NPS)
- NEFT / RTGS
- Network Trouble shooting
- News
- Notifications
- OBC related
- Operating Procedures
- Pay & Allowances
- Pay Commission
- Pay Commission - 7th
- Pay Fixation
- Pension
- Pensioners News
- Persmin
- Philately
- PLI
- PLI and RPLI
- POGuide I
- PointOfSale
- POSB
- POSB Clarifications
- Postal Accounts & Finance
- Postal Accouunts / PAO
- Postal Exams
- Postal Informations
- Postal Manuals
- Postal Savings Schemes
- PostalHistory
- Printer Trouble shooting
- Printing Tips
- Project Arrow
- Promotions
- Questions / Answers
- Quiz
- Railway
- Rajya Sabha Q&A
- Random
- Recovery Tips
- Recruitment Rules
- Registry Tips
- Registry Tools
- Reimbursement
- Reservation
- Results
- RICT
- RMS
- Rotational Transfer
- RTI
- Rulings
- SanchayPost
- SAP
- Savings Scheme
- SB Orders
- SBCO
- SBOrder2017
- SBOrder2018
- SBOrder2020
- SBOrder2021
- SBOrder2022
- Security Guidelines
- Security Tips
- Seniority List
- Software Tips
- Softwares
- Speed Post
- Sports
- SQL
- Staffs and Welfare
- State News
- Stories
- Students
- Study Materials
- Sukanya Samriddhi Account
- Tax
- Technology
- Technology News
- TET / TRB / TNPSC
- Tips and Tricks
- TN - தமிழ்நாடு
- Tools
- Training
- Transfer / Postings
- Trouble shooting
- UnCategorized
- Union News
- Update
- Useful Softwares
- Utilities
- Virus Solutions
- Websites
- Welfare
- windows 7
- Windows Server
- Windows Tips
- Windows Vista
/gi-fire/ YEAR POPULAR$type=list$c=5
- MCQ-CCS (CCA) Rules 1965 MCQ Quiz
- Admit Card Generator from excel file
- Honorarium to Inquiry Officers / Presenting Officers in the departmental inquiries conducted by the Ministries / Departments: Information Document
- FR&SR MCQ Quiz - 1
- PLI - RPLI death claim forms in PDF and SOP for handling PLI/RPLI Death Claim cases - Postal Life Insurance, Department of Posts
- CCS (CCA) Rules 1965 MCQ for practice : mcq on disciplinary proceedings
- SAP T - Code search tool - Just type and find the right T-Code
- SB Order 31/2020 Postal Savings Bank Orders - DOP
- Procedural aspects during the course of inquiry under Rule 14 of the CCS (CCA) Rules: Consolidated Instructions by DoP&T OM dated 21.12.2022
- Notification out for Inspector Posts Departmental Exam 2024

COMMENTS